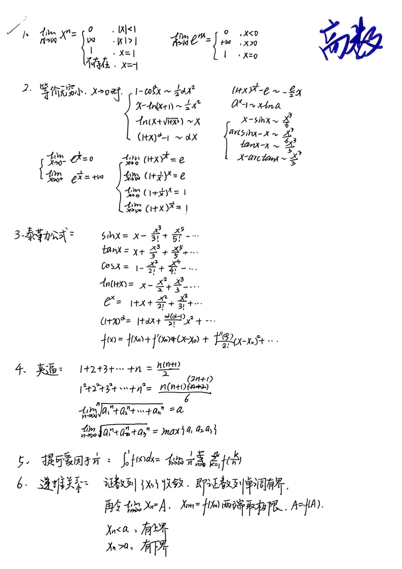
首页学科资料理工类数学26个《高数》公式,学好高数必收藏
yyy

文档

1685

关注

0

好评

0
PDF

26个《高数》公式,学好高数必收藏

阅读 326 下载 17 大小 2.16M 总页数 6 页 2025-09-07 分享
价格:¥ 3.00
下载文档
/ 6
全屏查看
26个《高数》公式,学好高数必收藏
还有 6 页未读 ,您可以 继续阅读 或 下载文档
1、本文档共计 6 页,下载后支持完整阅读内容或进行编辑。
2、本站所有文档资料仅供个人学习参考使用,不得用于转卖等其他商业用途。
3、本站所有内容均由合作方或网友上传,本站不对文档的完整性、权威性及其观点立场正确性做任何保证或承诺。
4、图文来源网络征集,版权归原作者所有,如文档内容存在违规,或者侵犯商业秘密、侵犯著作权等,请及时和我们联系。
5、文档资料属于虚拟产品,一经付费下载概不退货,我们将竭诚为您解决有关产品的问题。

体验中心

联系我们

  • 联系地址:创业园
  • 联系邮箱:1255791137@qq.com
  • 技术交流: 0631-55309063(工作日 9:00-17:00)
  • QQ群交流:1234567 (户外1群) / 1234567 (户外2群) / 127658322 (推荐) / 385413567
微信扫一扫
关注动态

黔ICP备2023001413号-1

贵公网安备 52030302000841号

Powered by 校园资料铺© 2020-2023 资料铺 你的文字小秘书 | |绑定微信

返回顶部